Упр.35 ГДЗ Никольский Потапов 8 класс (Алгебра)
Решение #1

Рассмотрим вариант решения задания из учебника Никольский, Потапов 8 класс, Просвещение:
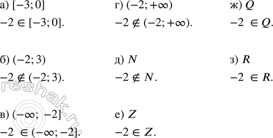
35 Принадлежит ли число -2 множеству чисел (сделайте запись с помощью знаков принадлежит и не принадлежит):
а) [-3; 0];
б) (-2; 3);
в) (-бесконечность; -2];
г) (-2; +бесконечность);
д) N;
е) Z;
ж) Q;
з) R?
*размещая тексты в комментариях ниже, вы автоматически соглашаетесь с пользовательским соглашением