Упр.10.10 ГДЗ Мордкович Семенов 9 класс (Алгебра)
Решение #1

Рассмотрим вариант решения задания из учебника Мордкович, Семенов, Александрова 9 класс, Бином:
10.10. Решите неравенство:
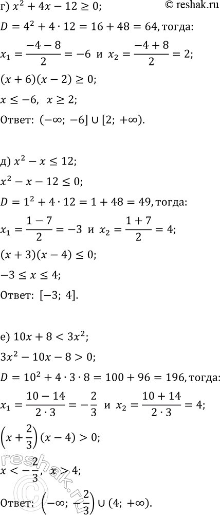
а) x^2-2x-15<0; г) x^2+4x-12?0;
б) 6x-5?x^2; д) x^2-x?12;
в) 2x^2+9x-5>0; е) 10x+8<3x^2.
*размещая тексты в комментариях ниже, вы автоматически соглашаетесь с пользовательским соглашением