Упр.10.13 ГДЗ Мордкович Семенов 9 класс (Алгебра)
Решение #1

Рассмотрим вариант решения задания из учебника Мордкович, Семенов, Александрова 9 класс, Бином:
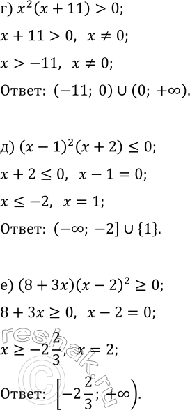
10.13. Решите неравенство:
а) x^2(x-12)<0; г) x^2(x+11)>0;
б) (x+4)^2(2x-1)?0; д) (x-1)^2(x+2)?0;
в) (x+3)^2(4-3x)?0; е) (8+3x)(x-2)^2?0.
*размещая тексты в комментариях ниже, вы автоматически соглашаетесь с пользовательским соглашением