Упр.111 ГДЗ Никольский Потапов 9 класс (Алгебра)

Решение #1

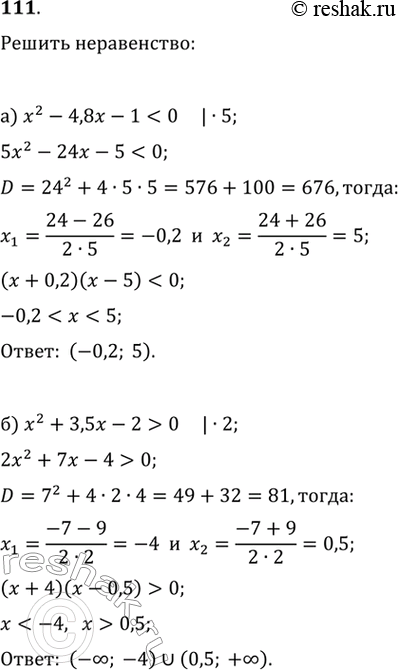
Изображение Упр.111 ГДЗ Никольский Потапов 9 класс

Решение #2

Изображение Упр.111 ГДЗ Никольский Потапов 9 класс

Рассмотрим вариант решения задания из учебника Никольский, Потапов 9 класс, Просвещение:
а) x^2-4,8x-1<0
б) x^2+3,5x-2>0
*Цитирирование задания со ссылкой на учебник производится исключительно в учебных целях для лучшего понимания разбора решения задания.
*размещая тексты в комментариях ниже, вы автоматически соглашаетесь с пользовательским соглашением