Упр.116 ГДЗ Никольский Потапов 9 класс (Алгебра)

Решение #1

Изображение 116. Приведите неравенство:а) 10x-x^2>1   б) 4x^2-6>9    в) 713x-8к виду ах2 + Ьх + с <...

Решение #2

Изображение 116. Приведите неравенство:а) 10x-x^2>1   б) 4x^2-6>9    в) 713x-8к виду ах2 + Ьх + с <...

Рассмотрим вариант решения задания из учебника Никольский, Потапов 9 класс, Просвещение:
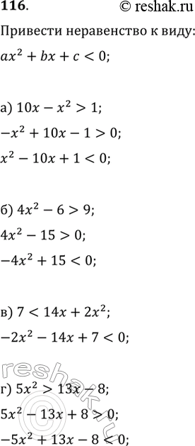
116. Приведите неравенство:

а) 10x-x^2>1
б) 4x^2-6>9
в) 7<14x+2x^2
г) 5x^2>13x-8
к виду ах2 + Ьх + с < 0.
*Цитирирование задания со ссылкой на учебник производится исключительно в учебных целях для лучшего понимания разбора решения задания.
*размещая тексты в комментариях ниже, вы автоматически соглашаетесь с пользовательским соглашением