Упр.118 ГДЗ Никольский Потапов 9 класс (Алгебра)

Решение #1

Изображение Решите неравенство (118—123):118. а) 0,5x^2>xб) 1,3x^24x^2е)...
Дополнительное изображение

Решение #2

Изображение Решите неравенство (118—123):118. а) 0,5x^2>xб) 1,3x^24x^2е)...
Дополнительное изображение
Дополнительное изображение

Рассмотрим вариант решения задания из учебника Никольский, Потапов 9 класс, Просвещение:
Решите неравенство (118—123):

118.
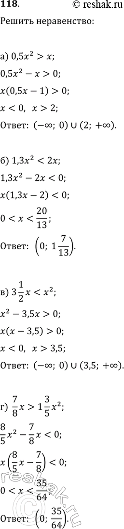
а) 0,5x^2>x
б) 1,3x^2<2x
в) 3 1/2 x
г) 7/8 x>13/5 x^2
д) 7>4x^2
е) 5<-x^2
ж) 2x^2<3
з) 3x^2>-5
*Цитирирование задания со ссылкой на учебник производится исключительно в учебных целях для лучшего понимания разбора решения задания.
*размещая тексты в комментариях ниже, вы автоматически соглашаетесь с пользовательским соглашением