Упр.126 ГДЗ Колягин Ткачёва 9 класс (Алгебра)
Решение #1

Рассмотрим вариант решения задания из учебника Колягин, Ткачёва, Фёдорова 9 класс, Просвещение:
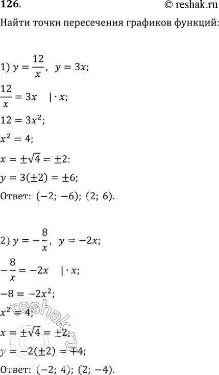
126. Не строя графики функций, найти координаты точек их пересечения:
1) y=12/x, y=3x; 2)y=-8/x, y=-2x;
3) y=2/x, y=x-1; 4) y=6/(x+1), y=x+2.
*размещая тексты в комментариях ниже, вы автоматически соглашаетесь с пользовательским соглашением