Упр.154 ГДЗ Колягин Ткачёва 9 класс (Алгебра)
Решение #1

Рассмотрим вариант решения задания из учебника Колягин, Ткачёва, Фёдорова 9 класс, Просвещение:
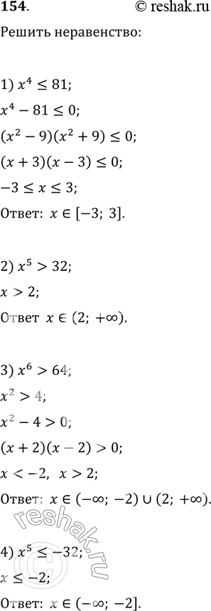
154. Решить неравенство:
1) x^4?81; 2) x^5>32; 3) x^6>64; 4) x^5?-32.
*размещая тексты в комментариях ниже, вы автоматически соглашаетесь с пользовательским соглашением