Упр.174 ГДЗ Макарычев Миндюк 9 класс (Углубленный) (Алгебра)
Решение #1

Рассмотрим вариант решения задания из учебника Макарычев, Миндюк, Нешков 9 класс, Просвещение:
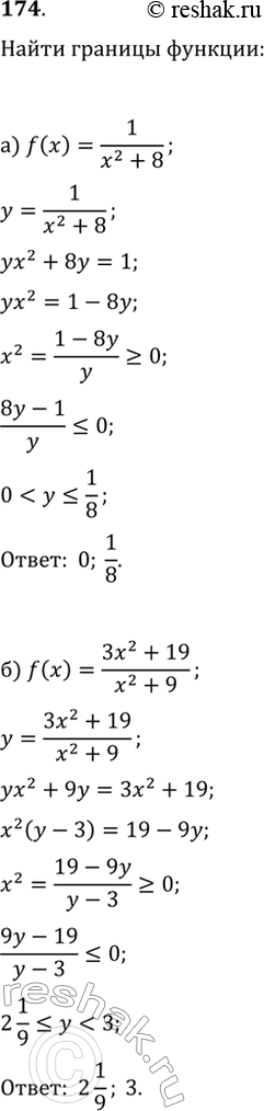
174. Докажите, что функция f(x) является ограниченной, и укажите её верхнюю и нижнюю границы:
а) f(x)=1/(x^2+8); в) f(x)=v(10x-x^2-16);
б) f(x)=(3x^2+19)/(x^2+9); г) f(x)=1/v(x^2-6x+10).
*размещая тексты в комментариях ниже, вы автоматически соглашаетесь с пользовательским соглашением