Упр.181 ГДЗ Макарычев Миндюк 9 класс (Углубленный) (Алгебра)

Решение #1

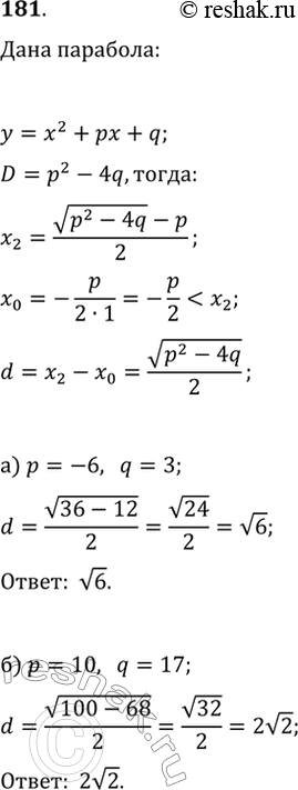
Изображение 181. Найдите расстояние d от оси симметрии параболы y=x^2+px+q (зная, что p^2-4q>0) до точек пересечения параболы с осью х. Найдите значение d, если: а) p=-6; q=3; б)...
Загрузка...

Рассмотрим вариант решения задания из учебника Макарычев, Миндюк, Нешков 9 класс, Просвещение:
181. Найдите расстояние d от оси симметрии параболы y=x^2+px+q (зная, что p^2-4q>0) до точек пересечения параболы с осью х. Найдите значение d, если: а) p=-6; q=3; б) p=10; q=17.
*Цитирирование задания со ссылкой на учебник производится исключительно в учебных целях для лучшего понимания разбора решения задания.
*размещая тексты в комментариях ниже, вы автоматически соглашаетесь с пользовательским соглашением