Упр.199 ГДЗ Никольский Потапов 9 класс (Алгебра)

Решение #1

Изображение 199. Закон прямолинейного движения точки определяется функцией:а) у = 3t; б) у = 3t^2 + 1.Какова скорость её движения в момент времени t, в частности t =...

Решение #2

Изображение 199. Закон прямолинейного движения точки определяется функцией:а) у = 3t; б) у = 3t^2 + 1.Какова скорость её движения в момент времени t, в частности t =...

Рассмотрим вариант решения задания из учебника Никольский, Потапов 9 класс, Просвещение:
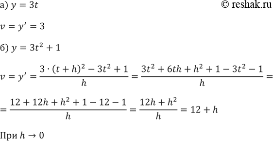
199. Закон прямолинейного движения точки определяется функцией:

а) у = 3t; б) у = 3t^2 + 1.

Какова скорость её движения в момент времени t, в частности t = 2?
*Цитирирование задания со ссылкой на учебник производится исключительно в учебных целях для лучшего понимания разбора решения задания.
*размещая тексты в комментариях ниже, вы автоматически соглашаетесь с пользовательским соглашением