Упр.219 ГДЗ Макарычев Миндюк 9 класс (Углубленный) (Алгебра)
Решение #1

Рассмотрим вариант решения задания из учебника Макарычев, Миндюк, Нешков 9 класс, Просвещение:
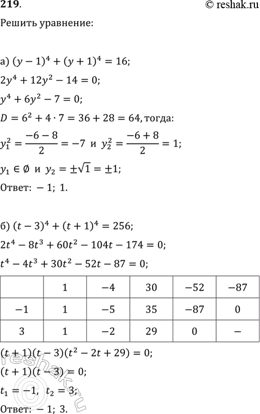
219. Решите уравнение:
а) (y-1)^4+(y+1)^4=16;
б) (t-3)^4+(t+1)^4=256.
*размещая тексты в комментариях ниже, вы автоматически соглашаетесь с пользовательским соглашением