Упр.222 ГДЗ Колягин Ткачёва 9 класс (Алгебра)
Решение #1

Рассмотрим вариант решения задания из учебника Колягин, Ткачёва, Фёдорова 9 класс, Просвещение:
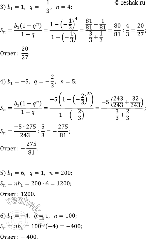
222. Найти сумму первых n членов геометрической прогрессии, если:
1) b_1=1/2, q=2, n=6; 2) b_1=-2, q=1/2, n=5;
3) b_1=1, q=-1/3, n=4; 4) b_1=-5, q=-2/3, n=5;
5) b_1=6, q=1, n=200; 6) b_1=-4, q=1, n=100.
*размещая тексты в комментариях ниже, вы автоматически соглашаетесь с пользовательским соглашением