Упр.236 ГДЗ Колягин Ткачёва 10 класс (Алгебра)
Решение #1
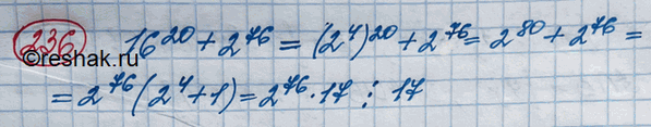
Решение #2

Рассмотрим вариант решения задания из учебника Колягин, Ткачёва, Фёдорова 10 класс, Просвещение:
236. Доказать, что число 16^20 + 2^76 делится на 17.
*размещая тексты в комментариях ниже, вы автоматически соглашаетесь с пользовательским соглашением