Упр.245 ГДЗ Никольский Потапов 8 класс (Алгебра)
Решение #1

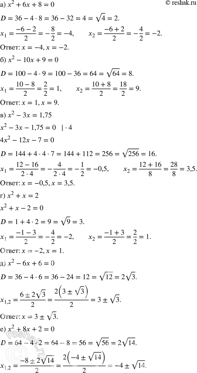
Рассмотрим вариант решения задания из учебника Никольский, Потапов 8 класс, Просвещение:
245. а) х2 + 6х + 8 = 0;
б) х2 - 10х + 9 = 0;
в) х2 - 3х = 1,75;
г) х2 + х = 2;
д) х2 - 6х + 6 = 0;
е) х2 + 8х + 2 = 0;
ж) х2 - Зх + 1 = 0;
з) х2 - 5х - 1 = 0;
и) х2 + 8х + 15 = 0;
к) х2 + 5х - б = 0.
*размещая тексты в комментариях ниже, вы автоматически соглашаетесь с пользовательским соглашением