Упр.246 ГДЗ Колягин Ткачёва 11 класс (Алгебра)
Решение #1
Решение #2

Рассмотрим вариант решения задания из учебника Колягин, Ткачёва, Фёдорова 11 класс, Просвещение:
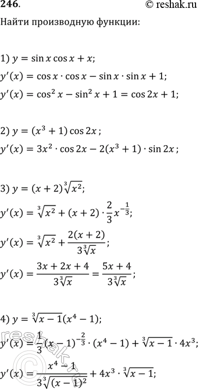
Найти производную функции (246—248).
246 1) sinxcosx+x;
2) (x3+1)cos2x;
3) (x+2) корень 3 степени x2;
4) корень 3 степени x-1 (x4-1).
*размещая тексты в комментариях ниже, вы автоматически соглашаетесь с пользовательским соглашением