Упр.254 ГДЗ Колягин Ткачёва 11 класс (Алгебра)
Решение #1
Решение #2

Рассмотрим вариант решения задания из учебника Колягин, Ткачёва, Фёдорова 11 класс, Просвещение:
254. Найти значения х, при которых значение производной функции f(x) равно нулю; положительно; отрицательно, если:
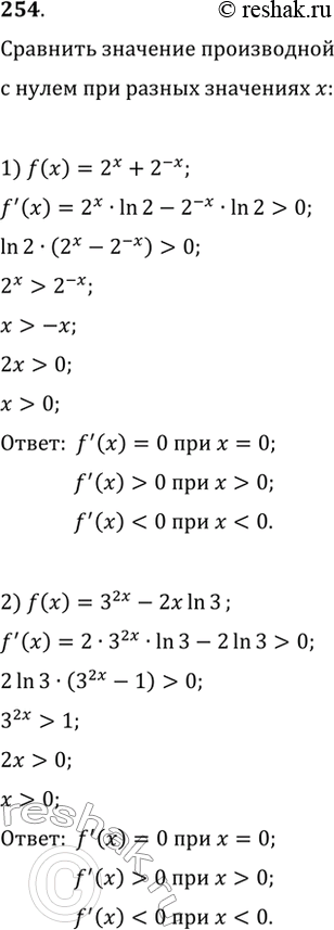
1) f(x) = 2х + 2-х;
2) f(x) = 32х - 2хln3;
3) f(x) = x + ln2х;
4) f(x) = x + ln(2x + 1);
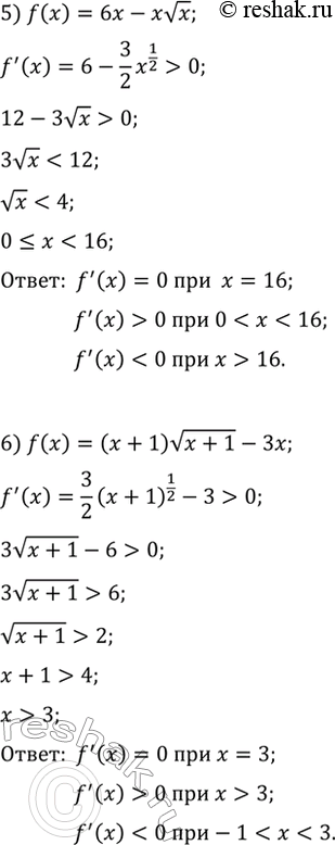
5) f(x) = 6x-x корень x;
6) f(x) = (x +1) корень x +1 -3x.
*размещая тексты в комментариях ниже, вы автоматически соглашаетесь с пользовательским соглашением