Упр.26 ГДЗ Колягин Ткачёва 9 класс (Алгебра)
Решение #1

Рассмотрим вариант решения задания из учебника Колягин, Ткачёва, Фёдорова 9 класс, Просвещение:
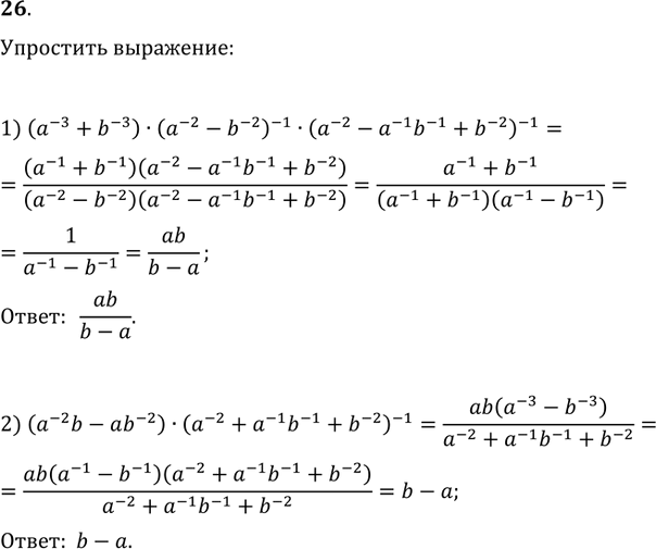
26. Упростить:
1) (a^(-3)+b^(-3))·(a^(-2)-b^(-2))^(-1)·(a^(-2)-a^(-1)b^(-1)+b^(-2))^(-1);
2) (a^(-2)b-ab^(-2))·(a^(-2)+a^(-1)b^(-1)+b^(-2))^(-1).
*размещая тексты в комментариях ниже, вы автоматически соглашаетесь с пользовательским соглашением