Упр.269 ГДЗ Колягин Ткачёва 7 класс (Алгебра)
Решение #1

Рассмотрим вариант решения задания из учебника Колягин, Ткачёва, Фёдорова 7 класс, Просвещение:
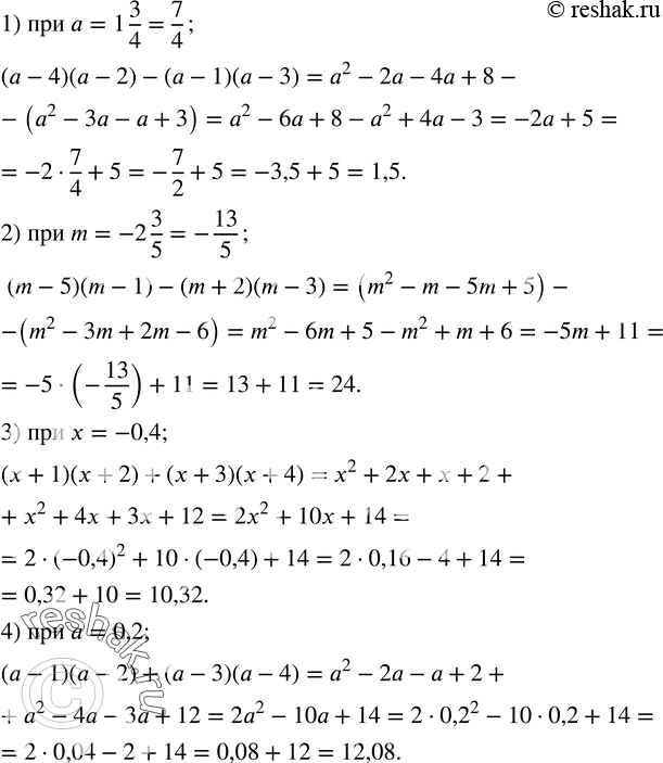
269. Найти значение алгебраического выражения, предварительно упростив его:
1) (a-4)(a-2)-(a-1)(a-3) при a=1 3/4;
2) (m-5)(m-1)-(m+2)(m-3) при m=-2 3/5;
3) (x+1)(x+2)+(x+3)(x+4) при x=-0,4;
4) (a-1)(a-2)+(a-3)(a-4) при a=0,2.
*размещая тексты в комментариях ниже, вы автоматически соглашаетесь с пользовательским соглашением