Упр.287 ГДЗ Колягин Ткачёва 10 класс (Алгебра)
Решение #1
Решение #2

Рассмотрим вариант решения задания из учебника Колягин, Ткачёва, Фёдорова 10 класс, Просвещение:
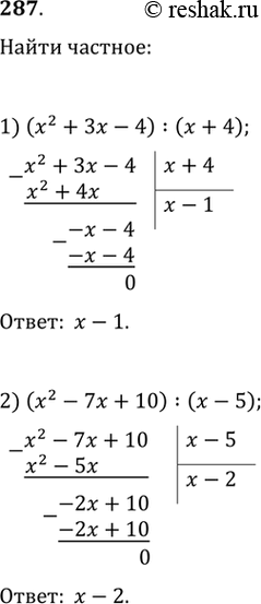
Найти частное (287—288).
287. 1) (х2 + Зх - 4) : (х + 4);
2) (х2 - 7х + 10) : (х - 5);
3) (6х3 + 7х2 - 6х + 1) : (3х - 1);
4) (4х3 - 5х2 + 6х + 9) : (4х + 3).
*размещая тексты в комментариях ниже, вы автоматически соглашаетесь с пользовательским соглашением