Упр.291 ГДЗ Колягин Ткачёва 10 класс (Алгебра)
Решение #1
Решение #2

Рассмотрим вариант решения задания из учебника Колягин, Ткачёва, Фёдорова 10 класс, Просвещение:
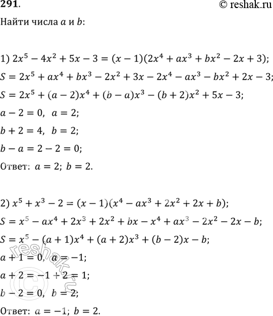
291. Найти числа а и b из тождественного равенства:
1) 2x5 - 4х2 + 5х - 3 = (х - 1)(2х4 + ах3 + bх2 - 2x + 3);
2) x5 + x3 - 2 = (x - 1)(х4 - ах3 + 2x2 + 2x + b).
*размещая тексты в комментариях ниже, вы автоматически соглашаетесь с пользовательским соглашением