Упр.3.11 ГДЗ Мордкович Семенов 9 класс (Алгебра)
Решение #1

Рассмотрим вариант решения задания из учебника Мордкович, Семенов, Александрова 9 класс, Бином:
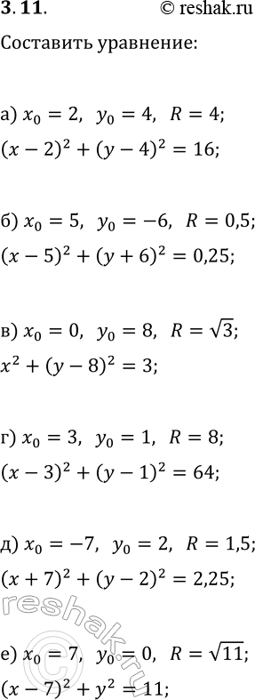
3.11. Составьте уравнение окружности:
а) с центром в точке А(2; 4) и радиусом 4;
б) с центром в точке В(5; —6) и радиусом 0,5;
в) с центром в точке С(0; 8) и радиусом v3;
г) с центром в точке A(3; 1) и радиусом 8;
д) с центром в точке В(—7; 2) и радиусом 1,5;
е) с центром в точке С(7; 0) и радиусом v11.
*размещая тексты в комментариях ниже, вы автоматически соглашаетесь с пользовательским соглашением