Упр.30.7 ГДЗ Мордкович Семенов 9 класс (Алгебра)
Решение #1

Рассмотрим вариант решения задания из учебника Мордкович, Семенов, Александрова 9 класс, Бином:
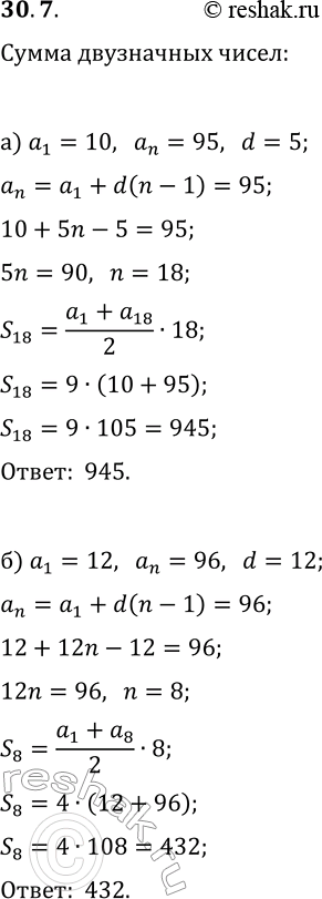
30.7. Найдите сумму всех двузначных чисел:
а) кратных 5; б) кратных 12.
*размещая тексты в комментариях ниже, вы автоматически соглашаетесь с пользовательским соглашением