Упр.302 ГДЗ Макарычев Миндюк 9 класс (Углубленный) (Алгебра)
Решение #1

Рассмотрим вариант решения задания из учебника Макарычев, Миндюк, Нешков 9 класс, Просвещение:
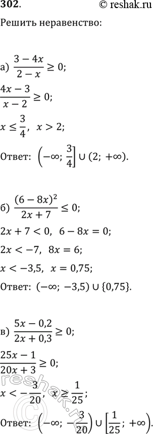
302. Найдите множество решений неравенства:
а) (3-4x)/(2-x)?0; в) (5x-0,2)/(2x+0,3)?0; д) (1-x)(3x+2)/(2x+3)?0;
б) (6-8x)^2/(2x+7)?0; г) (x-4)(2x+7)/(x+8)?0; е) (6x-1)(3x-2)/(x+4)?0.
*размещая тексты в комментариях ниже, вы автоматически соглашаетесь с пользовательским соглашением