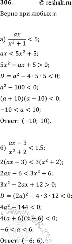
Упр.306 ГДЗ Макарычев Миндюк 9 класс (Углубленный) (Алгебра)
Решение #1

Рассмотрим вариант решения задания из учебника Макарычев, Миндюк, Нешков 9 класс, Просвещение:
306. При каких значениях a неравенство верно при любых х;
а) ax/(x^2+1)<5; б) (ax-3)/(x^2+2)<1,5?
*размещая тексты в комментариях ниже, вы автоматически соглашаетесь с пользовательским соглашением