Упр.309 ГДЗ Никольский Потапов 9 класс (Алгебра)

Решение #1

Изображение 309. Вынесите множитель из-под знака корня:а) Корень третьей степени и3 80;б) Корень третьей степени и3 81;в) Корень третьей степени и3 250;г) Корень третьей...

Решение #2

Изображение 309. Вынесите множитель из-под знака корня:а) Корень третьей степени и3 80;б) Корень третьей степени и3 81;в) Корень третьей степени и3 250;г) Корень третьей...

Рассмотрим вариант решения задания из учебника Никольский, Потапов 9 класс, Просвещение:
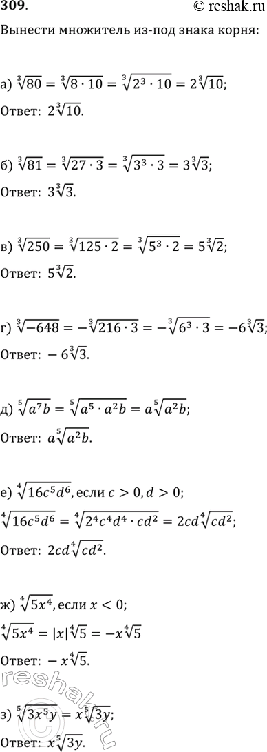
309. Вынесите множитель из-под знака корня:
а) Корень третьей степени и3 80;
б) Корень третьей степени и3 81;
в) Корень третьей степени и3 250;
г) Корень третьей степени и3 (-648);
д) Корень пятой степени из (а^7*b);
е) корень четвертой степени из (16*с^5d^6), если c>0, d>0;
ж) корень четвертой степени из (5*x^4), если x<0;
з) Корень пятой степени из (3*x^5*y);
*Цитирирование задания со ссылкой на учебник производится исключительно в учебных целях для лучшего понимания разбора решения задания.
*размещая тексты в комментариях ниже, вы автоматически соглашаетесь с пользовательским соглашением