Упр.31.8 ГДЗ Мордкович Семенов 9 класс (Алгебра)
Решение #1

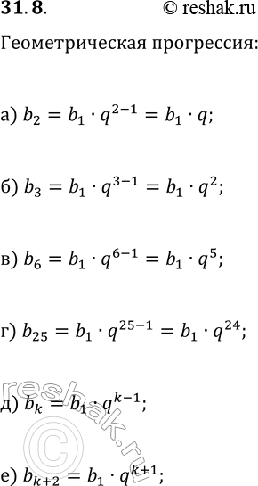
Рассмотрим вариант решения задания из учебника Мордкович, Семенов, Александрова 9 класс, Бином:
31.8. Выразите данный член геометрической прогрессии (b_n) через b_1 и q:
а) b_2; в) b_6; д) b_k;
б) b_3; г) b_25; е) b_(k+2).
*размещая тексты в комментариях ниже, вы автоматически соглашаетесь с пользовательским соглашением