Упр.311 ГДЗ Колягин Ткачёва 7 класс (Алгебра)
Решение #1

Рассмотрим вариант решения задания из учебника Колягин, Ткачёва, Фёдорова 7 класс, Просвещение:
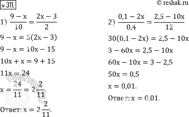
311. Решить уравнение:
1) (9-x)/10=(2x-3)/2;
2) (0,1-2x)/0,4=(2,5-10x)/12.
*размещая тексты в комментариях ниже, вы автоматически соглашаетесь с пользовательским соглашением