Упр.311 ГДЗ Никольский Потапов 8 класс (Алгебра)
Решение #1

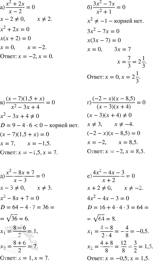
Рассмотрим вариант решения задания из учебника Никольский, Потапов 8 класс, Просвещение:
Решите уравнение (311—314):
311
*размещая тексты в комментариях ниже, вы автоматически соглашаетесь с пользовательским соглашением