Упр.317 ГДЗ Никольский Потапов 9 класс (Алгебра)

Решение #1

Изображение 317.а) корень шестой степени из 27,б) корень шестой степени из 16, в) корень девятой степени из 64,г) корень двенадцатой степени из...

Решение #2

Изображение 317.а) корень шестой степени из 27,б) корень шестой степени из 16, в) корень девятой степени из 64,г) корень двенадцатой степени из...

Рассмотрим вариант решения задания из учебника Никольский, Потапов 9 класс, Просвещение:
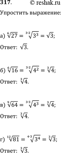
317.
а) корень шестой степени из 27,
б) корень шестой степени из 16,
в) корень девятой степени из 64,
г) корень двенадцатой степени из 81.
*Цитирирование задания со ссылкой на учебник производится исключительно в учебных целях для лучшего понимания разбора решения задания.
*размещая тексты в комментариях ниже, вы автоматически соглашаетесь с пользовательским соглашением