Упр.320 ГДЗ Никольский Потапов 9 класс (Алгебра)

Решение #1

Изображение 320. Упростите числовое выражение:а) корень из (2*корень из 3);б) корень третьей степени из (3*корень из 2);в) корень третьей степени из (2*корень третьей степени...

Решение #2

Изображение 320. Упростите числовое выражение:а) корень из (2*корень из 3);б) корень третьей степени из (3*корень из 2);в) корень третьей степени из (2*корень третьей степени...

Рассмотрим вариант решения задания из учебника Никольский, Потапов 9 класс, Просвещение:
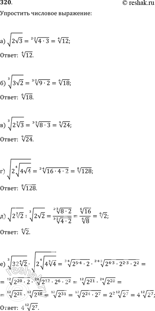
320. Упростите числовое выражение:
а) корень из (2*корень из 3);
б) корень третьей степени из (3*корень из 2);
в) корень третьей степени из (2*корень третьей степени из 3);
г) корень из (2*корень четвортой степени из (4*корень из 4));
д) корень из (2*корень третьей степени из 2) / корень третьей степени из (2*корень из 2);
е) корень третьей степени из (32*корень четвертой степени из (4*корень третьей сепени из 4)).
*Цитирирование задания со ссылкой на учебник производится исключительно в учебных целях для лучшего понимания разбора решения задания.
*размещая тексты в комментариях ниже, вы автоматически соглашаетесь с пользовательским соглашением