Упр.356 ГДЗ Колягин Ткачёва 11 класс (Алгебра)
Решение #1
Решение #2

Рассмотрим вариант решения задания из учебника Колягин, Ткачёва, Фёдорова 11 класс, Просвещение:
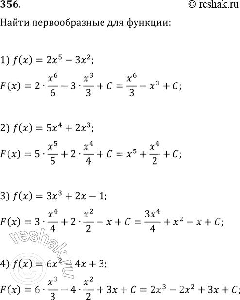
Найти первообразные для функции (356—363).
356. 1) 2х5 - 3х2;
2) 5х4 + 2х3;
3) 3х3 + 2х - 1;
4) 6х2 - 4х + 3;
5) 2/x + 3/x2;
6) 4 корень 3 степени x - 6 корень x;
7) корень x + 2 корень 3 степени x;
8) 2/x3 - 3/x.
*размещая тексты в комментариях ниже, вы автоматически соглашаетесь с пользовательским соглашением