Упр.359 ГДЗ Колягин Ткачёва 9 класс (Алгебра)
Решение #1

Рассмотрим вариант решения задания из учебника Колягин, Ткачёва, Фёдорова 9 класс, Просвещение:
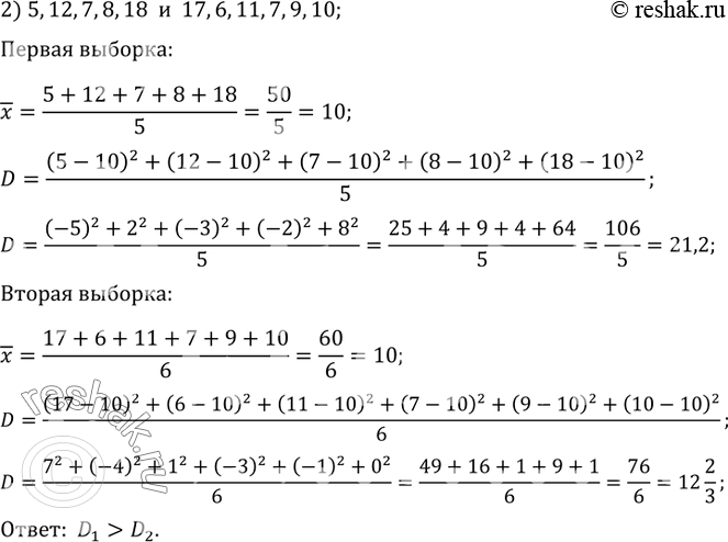
359. Сравнить дисперсии двух выборок, имеющих одинаковые средние значения:
1) 6, 10, 7, 8, 9 и 8, 9, 5, 10;
2) 5, 12, 7, 8, 18 и 17, 6, 11, 7, 9, 10.
*размещая тексты в комментариях ниже, вы автоматически соглашаетесь с пользовательским соглашением