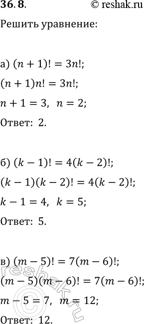
Упр.36.8 ГДЗ Мордкович Семенов 9 класс (Алгебра)
Решение #1

Рассмотрим вариант решения задания из учебника Мордкович, Семенов, Александрова 9 класс, Бином:
36.8. Решите уравнение:
а) (n+1)!=3n!; г) x!+7(x-1)!=66;
б) (k-1)!=4(k-2)!; д) (y-2)!=90(y-4)!;
в) (m-5)!=7(m-6)!; е) (z+3)!=210z!.
*размещая тексты в комментариях ниже, вы автоматически соглашаетесь с пользовательским соглашением