Упр.371 ГДЗ Колягин Ткачёва 9 класс (Алгебра)
Решение #1

Рассмотрим вариант решения задания из учебника Колягин, Ткачёва, Фёдорова 9 класс, Просвещение:
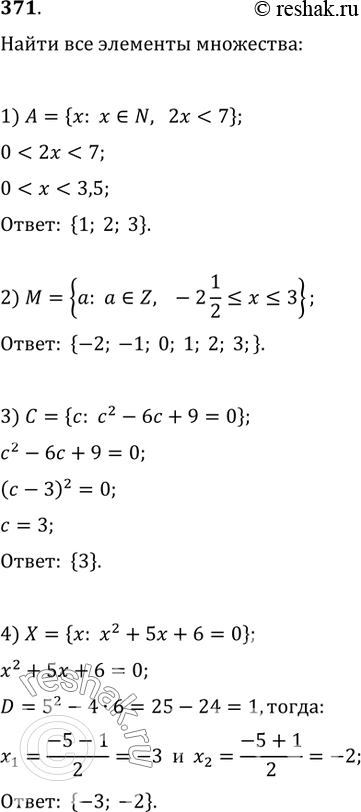
371. Найти все элементы множества:
1) A={x: x?N, 2х<7};
2) M={a: a?Z, -2 1/2?a?3};
3) C={с: c^2-6x+9=0};
4) X={x: х^2+5x+6=0}.
*размещая тексты в комментариях ниже, вы автоматически соглашаетесь с пользовательским соглашением