Упр.42 ГДЗ Никольский Потапов 9 класс (Алгебра)

Решение #1

Изображение 42. Доказываем. Докажите, что данное неравенство равносильно линейному неравенству, и найдите все его решения:а) x(2-x)3(1+x^2 )в) (x-2)(x-3)+(4-x)(x+2)>0 г)...

Решение #2

Изображение 42. Доказываем. Докажите, что данное неравенство равносильно линейному неравенству, и найдите все его решения:а) x(2-x)3(1+x^2 )в) (x-2)(x-3)+(4-x)(x+2)>0 г)...
Дополнительное изображение

Рассмотрим вариант решения задания из учебника Никольский, Потапов 9 класс, Просвещение:
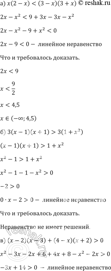
42. Доказываем. Докажите, что данное неравенство равносильно линейному неравенству, и найдите все его решения:
а) x(2-x)<(3-x)(3+x)
б) 3(x-1)(x+1)>3(1+x^2 )
в) (x-2)(x-3)+(4-x)(x+2)>0
г) (2x-1)(x+2)-(x-5)(2x+1)>0
*Цитирирование задания со ссылкой на учебник производится исключительно в учебных целях для лучшего понимания разбора решения задания.
*размещая тексты в комментариях ниже, вы автоматически соглашаетесь с пользовательским соглашением