Упр.440 ГДЗ Никольский Потапов 8 класс (Алгебра)
Решение #1

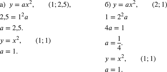
Рассмотрим вариант решения задания из учебника Никольский, Потапов 8 класс, Просвещение:
440 На рисунке 61 представлены графики функций у = х2 и у = ах2. Определите а.
*размещая тексты в комментариях ниже, вы автоматически соглашаетесь с пользовательским соглашением