Упр.453 ГДЗ Никольский Потапов 9 класс (Алгебра)

Решение #1

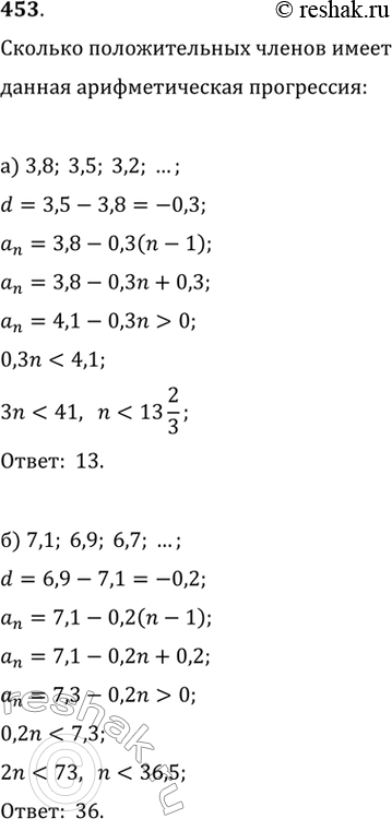
Изображение 453. Сколько положительных членов имеет арифметическая прогрессия:а) 3,8, 3,5, 3,2, ...;	б) 7,1, 6,9, 6,7, ...;в) 14 1/3, 13 2/3, 13,...;г) 15 3/4, 14 1/4, 12...
Дополнительное изображение

Решение #2

Изображение 453. Сколько положительных членов имеет арифметическая прогрессия:а) 3,8, 3,5, 3,2, ...;	б) 7,1, 6,9, 6,7, ...;в) 14 1/3, 13 2/3, 13,...;г) 15 3/4, 14 1/4, 12...
Дополнительное изображение
Дополнительное изображение

Рассмотрим вариант решения задания из учебника Никольский, Потапов 9 класс, Просвещение:
453. Сколько положительных членов имеет арифметическая прогрессия:
а) 3,8, 3,5, 3,2, ...;
б) 7,1, 6,9, 6,7, ...;
в) 14 1/3, 13 2/3, 13,...;
г) 15 3/4, 14 1/4, 12 3/4, ...?
*Цитирирование задания со ссылкой на учебник производится исключительно в учебных целях для лучшего понимания разбора решения задания.
*размещая тексты в комментариях ниже, вы автоматически соглашаетесь с пользовательским соглашением