Упр.55 ГДЗ Колягин Ткачёва 9 класс (Алгебра)
Решение #1

Рассмотрим вариант решения задания из учебника Колягин, Ткачёва, Фёдорова 9 класс, Просвещение:
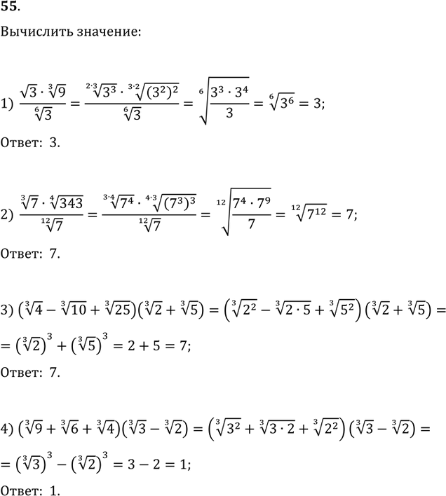
55. Вычислить:
1) (v3·9^(1/3))/3^(1/6); 2) (7^(1/3)343^(1/4))/7^(1/12);
3) (4^(1/3)-10^(1/3)+25^(1/3))(2^(1/3)+5^(1/3));
4) (9^(1/3)+6^(1/3)+4^(1/3))(3^(1/3)-2^(1/3)).
*размещая тексты в комментариях ниже, вы автоматически соглашаетесь с пользовательским соглашением