Упр.556 ГДЗ Никольский Потапов 9 класс (Алгебра)

Решение #1

Изображение 556. Определите знак числа:а) sin4 б) cos(3пи/4)в) sin(-пи/2) г) cos(-4)...

Решение #2

Изображение 556. Определите знак числа:а) sin4 б) cos(3пи/4)в) sin(-пи/2) г) cos(-4)...

Рассмотрим вариант решения задания из учебника Никольский, Потапов 9 класс, Просвещение:
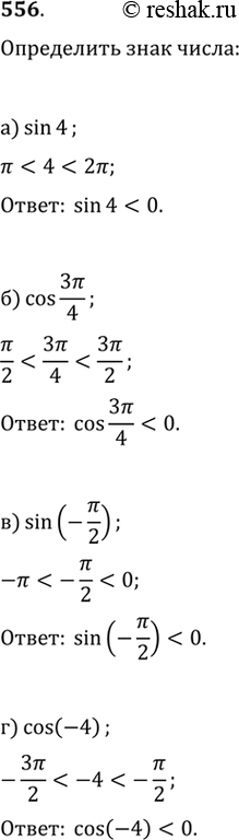
556. Определите знак числа:
а) sin4
б) cos(3пи/4)
в) sin(-пи/2)
г) cos(-4)
*Цитирирование задания со ссылкой на учебник производится исключительно в учебных целях для лучшего понимания разбора решения задания.
*размещая тексты в комментариях ниже, вы автоматически соглашаетесь с пользовательским соглашением