Упр.634 ГДЗ Никольский Потапов 9 класс (Алгебра)

Решение #1

Изображение Упростите выражение (634—635):634.а) sin(а+пи/4)-cos(а+пи/4)б) 2 cos(а-пи/3)-2...

Решение #2

Изображение Упростите выражение (634—635):634.а) sin(а+пи/4)-cos(а+пи/4)б) 2 cos(а-пи/3)-2...

Рассмотрим вариант решения задания из учебника Никольский, Потапов 9 класс, Просвещение:
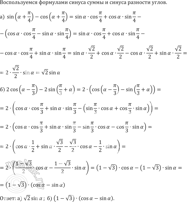
Упростите выражение (634—635):
634.
а) sin(а+пи/4)-cos(а+пи/4)
б) 2 cos(а-пи/3)-2 sin(пи/3+а)
*Цитирирование задания со ссылкой на учебник производится исключительно в учебных целях для лучшего понимания разбора решения задания.
*размещая тексты в комментариях ниже, вы автоматически соглашаетесь с пользовательским соглашением