Упр.635 ГДЗ Никольский Потапов 9 класс (Алгебра)
Решение #1
Решение #2
Рассмотрим вариант решения задания из учебника Никольский, Потапов 9 класс, Просвещение:
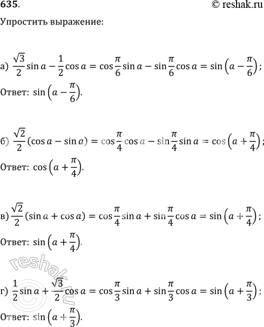
635.
а) v3/2 sinа-1/2 cosа
б) v2/2•(cosа-sinа )
в) v2/2•(sinа+cosа )
г) 1/2•sinа+v3/2 cosа
*размещая тексты в комментариях ниже, вы автоматически соглашаетесь с пользовательским соглашением