Упр.638 ГДЗ Никольский Потапов 9 класс (Алгебра)

Решение #1

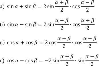
Изображение 638. Запишите формулу:а) суммы синусов;	б) разности синусов;в) суммы косинусов;г) разности...

Решение #2

Изображение 638. Запишите формулу:а) суммы синусов;	б) разности синусов;в) суммы косинусов;г) разности...

Рассмотрим вариант решения задания из учебника Никольский, Потапов 9 класс, Просвещение:
638. Запишите формулу:
а) суммы синусов;
б) разности синусов;
в) суммы косинусов;
г) разности косинусов.
*Цитирирование задания со ссылкой на учебник производится исключительно в учебных целях для лучшего понимания разбора решения задания.
*размещая тексты в комментариях ниже, вы автоматически соглашаетесь с пользовательским соглашением