Упр.64 ГДЗ Никольский Потапов 9 класс (Алгебра)

Решение #1

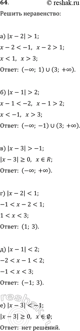
Изображение 64.а) |x-2|>1б) |x-1|>2в) |x-3|>-1г)...

Решение #2

Изображение 64.а) |x-2|>1б) |x-1|>2в) |x-3|>-1г)...
Дополнительное изображение

Рассмотрим вариант решения задания из учебника Никольский, Потапов 9 класс, Просвещение:
64.
а) |x-2|>1
б) |x-1|>2
в) |x-3|>-1
г) |x-2|<1
д) |x-1|<2
е) |x-3|<-1
*Цитирирование задания со ссылкой на учебник производится исключительно в учебных целях для лучшего понимания разбора решения задания.
*размещая тексты в комментариях ниже, вы автоматически соглашаетесь с пользовательским соглашением