Упр.673 ГДЗ Макарычев Миндюк 9 класс (Углубленный) (Алгебра)
Решение #1

Рассмотрим вариант решения задания из учебника Макарычев, Миндюк, Нешков 9 класс, Просвещение:
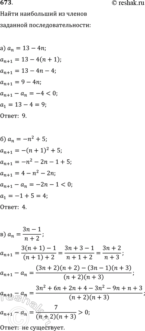
673. Найдите, если возможно, наибольший член последовательности (a_n), если:
а) a_n=13-4n; б) a_n=-n^2+5; в) a_n=(3n-1)/(n+2).
*размещая тексты в комментариях ниже, вы автоматически соглашаетесь с пользовательским соглашением