Упр.681 ГДЗ Макарычев Миндюк 9 класс (Углубленный) (Алгебра)
Решение #1

Рассмотрим вариант решения задания из учебника Макарычев, Миндюк, Нешков 9 класс, Просвещение:
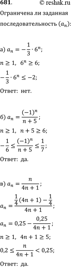
681. Является ли ограниченной последовательность (a_n), если:
а) a_n=-1/3·6^n; в) a_n=n/(4n+1); д) a_n=(-1)^(n+1) n/(n+1);
б) a_n=(-1)^n/(n+5); г) a_n=6·(-1/3)^n; е) a_n=((-1)^n-(-1)^(n+1))/n?
*размещая тексты в комментариях ниже, вы автоматически соглашаетесь с пользовательским соглашением