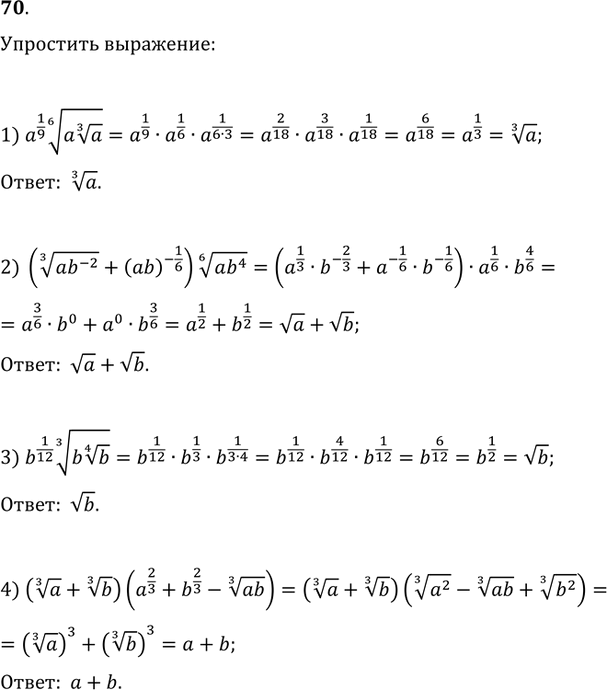
Упр.70 ГДЗ Колягин Ткачёва 9 класс (Алгебра)
Решение #1

Рассмотрим вариант решения задания из учебника Колягин, Ткачёва, Фёдорова 9 класс, Просвещение:
70. Упростить выражение:
1) a^(1/9)(a(a^(1/3)))^(1/6);
2) ((ab^(-2))^(1/3)+(ab)^(-1/6))(ab^4)^(1/6);
3) b^(1/12)(b(b^(1/4)))^(1/3);
4) (a^(1/3)+b^(1/3))(a^(2/3)+b^(2/3)-(ab)^(1/3)).
*размещая тексты в комментариях ниже, вы автоматически соглашаетесь с пользовательским соглашением