Упр.70 ГДЗ Макарычев Миндюк 9 класс (Углубленный) (Алгебра)
Решение #1

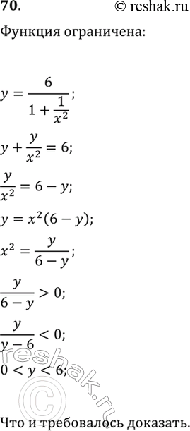
Рассмотрим вариант решения задания из учебника Макарычев, Миндюк, Нешков 9 класс, Просвещение:
70. Докажите, что функция y=6/(1+1/x^2) ограниченная, но не имеет ни наибольшего, ни наименьшего значений.
*размещая тексты в комментариях ниже, вы автоматически соглашаетесь с пользовательским соглашением