Упр.72 ГДЗ Колягин Ткачёва 9 класс (Алгебра)
Решение #1

Рассмотрим вариант решения задания из учебника Колягин, Ткачёва, Фёдорова 9 класс, Просвещение:
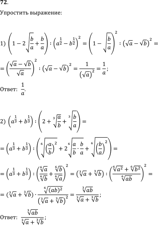
72. Упростить выражение:
1) (1-2v(b/a)+b/a):(a^(1/2)-b^(1/2))^2;
2) (a^(1/3)+b^(1/3)):(2+(a/b)^(1/3)+(b/a)^(1/3));
3) (a^(1/4)-a^(9/4))/(a^(1/4)-a^(5/4))-(b^(-1/2)-b^(3/2))/(b^(1/2)+b^(-1/2));
4) (va-a^(-1/2) b)/(1-v(a^(-1)b))-((a^2)^(1/3)-a^(-1/3)b)/(a^(1/6)+a^(-1/3)vb).
*размещая тексты в комментариях ниже, вы автоматически соглашаетесь с пользовательским соглашением