Упр.746 ГДЗ Колягин Ткачёва 10 класс (Алгебра)
Решение #1
Решение #2

Рассмотрим вариант решения задания из учебника Колягин, Ткачёва, Фёдорова 10 класс, Просвещение:
746. Решить уравнение:
1) (0,2^(x+0,5)/v5)=5*0,04^x
2) 4*3^x-9*2^x=5*3^x/2*2^x/2
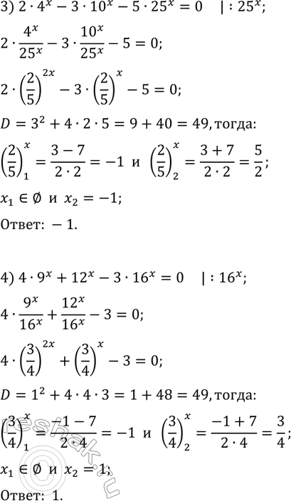
3) 2*4^x-3*10^x-5*25^x=0
4) 4*9^x+12^x-3*16^x=0
*размещая тексты в комментариях ниже, вы автоматически соглашаетесь с пользовательским соглашением